OSYM’nin internet sitesinde Karayolları Genel Müdürlüğü tarafından 170 adet sözleşmeli personel alacağına dair duyuru 7 Ekim 2020 tarihinde yayınlandı.
Yayınlanan duyuruya göre aralarında inşaat, makine, elektrik, bilgisayar, harita mühendisliği ile mimarlık ve şehir bölge planlama gibi branşlardan toplamda 170 personel alacağı görüldü.
Adaylar tercihlerini 07 Ekim – 12 Ekim 2020 tarihleri arasında yapabilecekler. Tercih işlemleri 12 Ekim 2020 tarihi, saat 23:59’da sona erecektir.
Dikkat edilmesi gereken diğer bir husus ise KPSS 2018 puanına göre başvuruların alınmasıdır.
Alınacak personellerin branşları
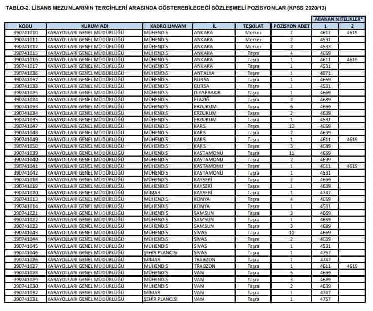
- 57 İnşaat Mühendisi, (Nitelik kodu 4669)
- 3 Mimar (Nitelik kodu 4747)
- 110 diğer branşlar.
Aşağıdaki tablodan inşaat mühendisleri ve mimarların hangi şehirlerde istihdam edileceğini görebilirsiniz. İnşaat mühendislerinin nitelik kodu 4669, Mimarların ise 4747’dir.
ÖSYM’de yer alan Personel alım duyurusu, başvuru süreçleri ve diğer hususlara aşağıdaki bağlantıdan ulaşabilirsiniz:
Sanal Şantiye sitesinden daha fazla şey keşfedin
Subscribe to get the latest posts sent to your email.

