ÇELİK ÇEKME ÇUBUĞU
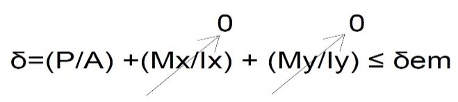
- δ=(P/A) +(Mx/Ix) + (My/Iy) ≤ δem
- I -> Atalet momenti -> Ix -> X yönündeki atalet momenti
->Iy -> Y yönündeki atalet momenti
- P -> Normal kuvvet (ton)
- A -> Kesit alanı (cm²)
- Mx ve My -> X ve Y yönündeki moment (Sağ el kuralı geçerlidir).
Not: Iterasyon yapmak amacıyla çelik profil seçerken, profillerin atalet momentleri (I) ve alanlarını (A) tablolardan alabiliriz.

Bu durumda;
δ=(P/A) ≤ δem -> δem belirlemek için, hadde profilimizin dayanımına karar vermemiz gerekir. Yani S235 veya S275, S355 gibi dayanım sınıflarından herhangi birini seçerek başlamalıyız.
S235 dayanımını ele alalım: Fy= 2.35 tf/cm² olur.
S235 = St37; Burada, S235 in 235 N/m² = 2.35 tf/cm² akma dayanımını;
St37 nin 37 tf kopma dayanımını ifade eder.
GKT göre tasarım;
Tn = Ag x Fy
Tq = Tn / 1.67 -> 1.67 GKT için yönetmelik katsayısıdır.
Fy = 2.35 tf/cm² (akma dayanımı)
Ag -> Profil kesit alanı (Tablolardan okunabilir)
Tn -> A kesit alanlı bir profilin Fy akma dayanımı ile taşıyabileceği toplam yük (ton cinsinden)
Bu işlemlerde bulduğumuz Tq > 37 tf yani S235=St37 dayanımlı çeliğin kopma dayanımından büyük olmalıdır.
Biz burada aslen kesit alanını bilmediğimiz ve gelen yükü bildiğimiz için, formüllerde tersten giderek gereken en küçük kesit alanını bulup, tablolardaki profil alanlarından en uygun ve en ekonomik olan profil ile boyutlandırma işlemimizi tamamlayabiliriz.
Not: Fakat unutmamalıyız ki burada S235 dayanımlı çelik kullandık, eğer dayanımı daha yüksek çelik kullanmak istersek işlemler tekrarlanıp, tekrar boyutlandırma yapılmalıdır.
YDKT göre tasarım;
Bu yöntemde esas olan gelen yükleri büyütme yolu ile güvenli tarafta kalmaktır. Çelik Yönetmeliği 2016 ile kullanmaya başladığımız yöntemde yük büyütme kombinasyonu şöyledir:
Ptasarım= 1.2DL+1.6LL (DL=Dead Load (Sabit Yük); LL=Live Load (Hareketli Yük)]
Bu örnekte etkiyen tek P yükünün sabit yük olduğunu düşünerek; Ptas= 1.2 x P olarak alabiliriz.
Tn = Ag x Fy -> Fy = 2.35 tf/cm² (akma dayanımı)
Ag -> Profil kesit alanı (Tablolardan okunabilir)
Tn -> A kesit alanlı bir profilin Fy akma dayanımı ile taşıyabileceği toplam yük (ton cinsinden)
Burada GKT den farklı olarak Tn 1.67 ye bölmek yerine 0.9 ile çarparız. Yani;
Tn x 0.9 > Ptasarım olmalı (0.9 yönetmelik katsayısı)
Görüldüğü üzere GKT ile YDKT arasındaki fark; GKT de yükler herhangi bir katsayı ile çarpılmadan alınıp Tn / 1.67 > 37tf olmasını bekliyoruz (St37 seçtiğimiz için > 37 tf olması gerekmekte, farklı dayanımdaki malzemelerde bu dayanım sayısı da değişecektir) Yani malzemenin kopma dayanımına göre işlem yapıyoruz.
YDKT de ise yükler 1.2DL+1.6LL olmak üzere katsayılarla çarpılıp, tasarım yükü büyütüldükten sonra Tn x 0.9 > Ptasarım olmasını bekliyoruz. Yani GKT de malzemenin dayanımını düşürerek kontrol yaparken, YDKT de gelen yükleri büyüterek kontrol yapıyoruz.
Not: Yukarıdaki işlemler H ve I profilleri düşünülerek ve ekstrem durumlardan kaçınarak yapılmıştır. Konunun tam olarak kavranabilmesi için Çelik Yönetmeliği 2016 Bölüm 7 özenle okunmalıdır!
İnşaat Y. Müh. Dilara Özşenol
Sanal Şantiye sitesinden daha fazla şey keşfedin
Subscribe to get the latest posts sent to your email.





