Kazıklarda Negatif Çevre Sürtünmesi
Daha önceki yazılarımız da, kazık taşıma gücü ve kayaya sokenlenen kazıkları ele almıştık. Bu yazımızda ise kazıklarda negatif çevre sürtünmesi hususunu ele alacağız.
1) NEGATİF ÇEVRE SÜRTÜNMESİ:
Uç veya uca yakın alt kısmı daha sıkı veya katı zemin ya da kayaya soketli kazıklar da zemin yüzeyinden itibaren bir dolgu ve/veya yumuşak kil-silt tabakası uca nazaran daha fazla oturma yaparsa bu tabakalardan kazığa aşağı doğru kuvvet uygulanır. (şekil.1) Bu kuvveti doğuran mekanizmalar sonucu gelişen ters yöndeki sürtünmeye negatif çevre sürtünmesi denilir.
1.1)Negatif çevre sürtünmesini ortaya çıkaran mekanizmalar ;
- Yumuşak kil/elastik silt tabakasının üstüne dolgu yapılması ve bu dolgu yükü altında zemin oturma yaparken içinde kazık bulunursa
- Yumuşak kilde kazık çakıldıktan sonra aşırı boşluk suyu basıncı sönümlenirken kilin oturma yapması
- Yeraltı su seviyesinin bir şekilde düşürülmesi ve bunun sonucunda efektif gerilme artışına bağlı oturma meydana gelmesi
- Komşu parsellerde sürşarj uygulaması
Bu mekanizmaların negatif çevre sürtünmesi oluşturabilmesi için öncelikli şart kazık ucunun oturmakta olan tabakaya nazaran daha az oturmasıdır. Kazık zeminle birlikte oturursa negatif çevre sürtünmesi oluşmaz.
1.2)Negatif çevre sürtünmesininin etki ettiği bölgeler ;
Negatif çevre sürtünmesi bir kazık grubu içinde dış sıra kazıklarda etkili olur. İç sıra kazıklarda bu etki genellikle ihmal edilecek mertebede kalır.(Şekil.2)
Tarafsız düzlemde negatif çevre sürtünmesi pozitif çevre sürtünmesine eşit olur (Qn=Qs).
Qn’nin hesaplanabilmesi için tarafsız düzlemin derinliğinin (zn) belirlenmesi gerekir. Bu parametre kazığın ucuna yük aktarılma durumuna göre değişken değerler alır.
Uç kazıklarında (kazık ucu çok sıkı kum-çakıl veya kayada) derine inerken, yüzer kazıklarda (uca hiç yük aktarmayan veya uç direncinin ancak küçük bir kısmının mobilize olduğu kazıklar) kazığın alt ucundan yaklaşık L/3 kadar yukarıda olur.
1.3) Tarafsız Düzlemin Belirlenmesi ;
-Durum1: Kazık Uç Direncinin Tam Olarak Mobilize Olma Durumu
Bu durum kazığın çok sıkı kum-çakıl veya kayaya soketlenmesi durumunda ortaya çıkar. Uç direncinin tam anlamıyla mobilize olması için Lsoket≥5B koşulunun sağlanması gerekir. Bu koşul sağlandığı takdirde tarafsız düzlemin derinliği ve düzlemde etki eden toplam yükün (Qservis+Qn) hesabı için gerekli denklemler;
– Durum2:Yüzer Kazık Durumu:
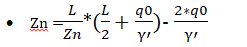
Bu durum kazık servis yükünün tamamen veya önemli oranda (kazık uç direncinin ancak bir kısmı mobilize) taşındığı koşullarda ortaya çıkar. Kazık ucu genellikle bir miktar oturma arz eden katı-çok katı kile soketlenmiştir (Lsoket≥5B). Tarafsız düzlemin derinliği için gerekli denklemler;
Kazık başlığının altında qo gerilmesine neden olan belirli kalınlıkta bir dolgu mevcut değilse, bir başka deyişle negatif çevre sürtünmesi arz eden tabaka kendi ağırlığı altında veya başka bir mekanizma ile oturuyorsa qo=0 alınır(Şekil.3) ve denklemimiz;
Tarafsız düzlemin bulunmasından sonra;
qn= ß* σ’ort Qn=qn*As_n
ß:Meyerhof tarafından önerilen negatif çevre sürtünmesi hesap katsayısı
qn:birim negatif çevre sürtünmesi
Qn: tarafsız düzlemde (NP) etki eden toplam negatif çevre sürtünme yükü
As_n: negatif çevre sürtünmesine neden olan tabaka içinde kalan kazık yüzey alanı
Şeklinde negatif çevre sürtünmesi bulunur.
Bunu bulurken mayerhof (ß) abağına(şekil.4) ihtiyaç vardır;
1.3)SONUÇ VE YORUM;
Negatif çevre sürtünmesi oturan tabakanın deplasmanı ile ortaya çıktığı ve bilhassa ince daneli zeminlerde zaman içinde tam olarak mobilize olduğu için efektif gerilme tabanlı hesap yöntemleri kullanılmalıdır.
Negatif yük geçici bir etki olup kazık servis yüküne doğrudan eklenmez.
Kazığa olan etkisi basınç gerilmesinin malzeme emniyet gerilmesini aşma ihtimali açısından incelenir. Ancak üst yapıdan gelen servis yükü (basınç) ve negatif çevre sürtünmesi birlikte dikkate alınarak bunların kazık kapasitesine nazaran makul bir güvenlik faktörü ile taşındığını göstermek gerekir (Qp hesabında negatif çevre sürtünmesi arz eden çok yumuşak-yumuşak kil tabakasının kazık kapasitesine pozitif katkısı ihmal edilir.Qp’nin basınç yüklerine göre hesabında Fs=2.0 veya 2.5 güvenlik faktörünü sağlaması temin edilir.)
Mühendis QNP=Qservis+Qn hesabını yaptıktan sonra bu yükün meydana getirdiği gerilmenin (σ =QNP/ANP) kazık malzemesinin emniyet gerilmesinden küçük olduğunu (σ <fck veya fyk) kontrol etmelidir. Aksi takdirde kazıkta yapısal hasar meydana gelecektir.
NOT: Bu yazının kaynağı, Prof. Dr. Gürkan Özden’in Özel Temeller Ders Sunusu’dur. İçeriği oluştururken; metin, şekil, tablo ve görseller için kendisinden özel izin alınarak hazırlanmıştır.
Sanal Şantiye sitesinden daha fazla şey keşfedin
Subscribe to get the latest posts sent to your email.





